[현대해양] 업무 회의나 학회를 마치고 모처럼 만난 사람들과 횟집에서 저녁 같이 먹으면 바다나 수산생물에 관한 이야기가 자연스럽게 나오곤 하는데, 옆에서 듣고 있으면 다들 우리나라 최고 수산 전문가들이라는 생각이 들 때가 한두 번이 아니다. 가령, 갈치가 잘 잡히면 어떤 사람은 인공어초 때문이라고 하고, 참조기가 잘 잡히면 해경이 중국 불법 어선을 단속을 잘했기 때문이라고 하고, 오징어가 안 잡히면 북한 해역에서 조업하는 중국어선 때문이라고 한다. 바다와 수산을 30년 이상 공부했다는 나는 이런 물고기 풍흉 원인에 대해서는 아무래도 자신이 없어서 한마디 말도 못 꺼내는데 이 분들은 거침없이 열변을 토해낸다. 그 자신감에 놀란 적이 한두 번이 아니다.
2015년부터 우리나라 해양수산부에서 추진해온 명태 방류 사업, 그리고 이어진 명태 양식 사업은 박근혜 전 대통령뿐만 아니라 언론과 국민들로부터 큰 관심을 받았다. 나도 관심이 있어서 중앙일간지에 실린 뉴스와 칼럼을 찾아서 읽어보곤 했다. 한 칼럼에서는 명태 생태에 관해서 구체적인 수치까지 제시하면서 자세히 이야기하고, 결론은 노가리를 많이 잡아서 명태가 우리바다에서 사라졌다고 결론을 내리고 있다. 혹시 내가 아는 국내 수산학자가 쓴 글인가 궁금해서 칼럼 제일 마지막에 나오는 기고자 인적을 보니 뜻밖에 무슨 출판사 대표라고 한다. 또 다른 명태에 관한 한 칼럼에서는 기고자가 연극인이었다. 요즘 명태가 안 잡힌 이유는 노가리를 많이 잡았기 때문이라면서. ‘안봐도 비디오’라는 놀라운 신공을 자랑하는 칼럼이 있어 누가 썼는지 유심히 보니 텔레비전 방송에 자주 나오는 무슨 시립과학원장이 쓴 글이었다. 바야흐로 전국민 수산 전문가 시대이다. 어떤 수산생물이 잘 잡히거나 안 잡히면 누구라도 즉석에 그 원인을 짐작하여 떠들고 신문에 기고를 할 수 있는 나라이다.
이렇게 대한민국 국민이면 누구나 수산생물 풍흉 원인에 대해서 마음껏 떠들 수 있는 자신감의 배경이 무엇인지 궁금해왔는데, 몇 년 전에 그 단서를 찾았다. 세월호 참사로 전 국민이 비통해하고 있을 때 사고 원인에 대해서 정부 발표가 나왔지만 대부분 사람들이 그 말을 믿지 않았다. 또 그전에 천안함 침몰 사건이 나왔을 때도 정부와 국방부 발표를 많은 사람들이 받아들이지 않았다. 잠수함 충돌설 등 온갖 음모론이 나왔고 지금도 진행형이다. 심지어는 천안함 조사 결과를 두고 정부 산하 공영방송이라는 KBS가 같은 정부 국방부 발표를 반박하고, 국방부는 다시 KBS를 반박하는 진풍경도 벌어졌다. 둘 중 하나는 거짓임이 뻔 한데도, 양쪽 다 한 치도 물러서지 않은 자신감을 보이고 있다. 저런 자신감은 과연 어디에서 나올까?
천안함과 세월호 공통점은 모두 바다 속에서 일어난 사건이라는 공통점이 있다. 사람들은 바다 속을 쉽게 들어갈 수 있고 또 잘 안다고 착각하지만, 바다 속은 어둡고 들어가기 무척 힘든 곳이다. 세월호가 침몰했을 때 왜 잠수부들이 들어가서 구출하지 못했는지 사람들은 이해를 못했다. 그러나 잠수부들이 바다에 들어갈 수 있는 날이 1년에 며칠이나 되는지는 잘 알지 못한다. 헝가리 다뉴브강에서 한국인 관광객을 태운 유람선이 침몰했을 때 바다도 아닌 그 얕은 강물에서도 잠수부들이 일주일이 지나도 들어가지를 못했다. 영화나 방송에서 흔히 보는 것과는 달리 물속은 이처럼 들어가기 힘든 곳이다.
속을 볼 수 없고 들어가기도 극히 힘든 깊고 어두운 바다니 그 속에서 일어난 일에 대해서 아무 말을 해도 그것을 확인할 방법은 없고, 그래서 다들 마음대로 떠들어도 되는 것이다. 온갖 음모론을 주장해도 다 통한다. 그것을 확인할 방법이 없기 때문이다. 또 책임질 필요도 없고 책임지는 사람도 없어왔기 때문에 그냥 목소리 큰 사람이 장땡이다. 바다는 세상 모든 거짓도 품어줄 수 있기 때문이다.
사람들은 다들 바다에 대해서 잘 안다고 착각하고 있지만, 그 착각이 국가 대형 참사를 일으킬 수 있다는 것을 세월호에서 우리는 뼈저리게 깨달았다. “유야, 안다는 것이 어떤지를 가르쳐주겠다. 아는 것을 안다고 하고, 모르는 것을 모른다 함이 진정한 앎이니라”라고 공자가 2,500년 전에 말했다. 우리는 여전히 바다를 잘 모른다.
2015년 명태 살리기 프로젝트가 시작된 이유는 동해에서 명태가 사라지게 된 원인 진단부터 잘못되었기 때문이었다. 노가리를 많이 잡아서 명태 씨가 말랐다는 이야기가 30년 가까이 대한민국에서 전설 따라 삼천리로 내려오고 있는데, 이것을 뒷받침하는 대단한 과학 조사라도 있는 것 같지만, 실상을 조금 들여다보면 이 노가리 가설을 뒷받침하는 논문은 전 세계에 전무하다. 국내 논문도 없다. 연구보고서도 단 1편도 없다. 더구나 지난 호 글에서 설명했듯이 우리나라 어구어법중에서 어른 물고기는 제외하고 노가리와 같은 작고 어린 미성어만을 선택적으로 잡을 수 있는 방법은 존재하지 않는다. 노가리를 많이 잡은 것이 아니고 망목 크기를 줄였더니 노가리가 많이 잡힌 것이다. 기초 용어부터 틀렸으니 원인을 제대로 보지 못한 것이다.
명태가 많이 잡히는 시기에는 당연히 새끼 명태인 노가리도 많이 잡힐 수밖에 없다. 동해에서는 노가리를 굳이 잡을 필요가 없는 러시아 연안과 일본 연안에서도 1980년대 이후에 우리나라와 마찬가지로 명태 어획고가 줄어들었다(그림 1). 우리나라 동해바다에서 1990년대 들어서 명태 어획고가 크게 줄어든 가장 큰 이유는 지구 온난화를 비롯한 기후변화라는 것이 일본이나 러시아 수산학자들이 펴낸 논문에서 이미 설명이 되어있고 우리나라에서도 관련 논문이 나와 있다.

우리나라 바다는 육지 38선처럼 아열대 어종(참조기, 갈치, 말쥐치, 정어리)과 냉수성 어종(대구, 명태, 청어) 서식지의 경계이다. 기후 변화에 따라 한 어종 서식지가 조금만 남쪽으로 내려가거나 북쪽으로 올라가도 우리나라 바다에서는 그 어종 씨가 말라 버린 것 같지만 더 남쪽으로 또는 북쪽으로 가면 여전히 많이 잡히고 있다.
명태는 1990년대 이후 서식지가 북상을 하기 시작했다. 따라서 우리나라 동해안뿐만 아니라 위도가 비슷한 일본 홋카이도에서도 명태 어획고가 크게 줄었고 그 북쪽인 오호츠크해에서는 오히려 늘어나는 현상이 관찰되었다(그림 2). 따라서 우리나라에서 안 잡히는 명태는 지금도 동해 북단 러시아와 베링해에서는 잘 잡히고 있다(그림 3). 미국 수산학자에게 들은 이야기로는 지구온난화로 명태 서식지가 최근에는 베링해에서 북극해로도 계속 북상중이라는 추세라고 한다.

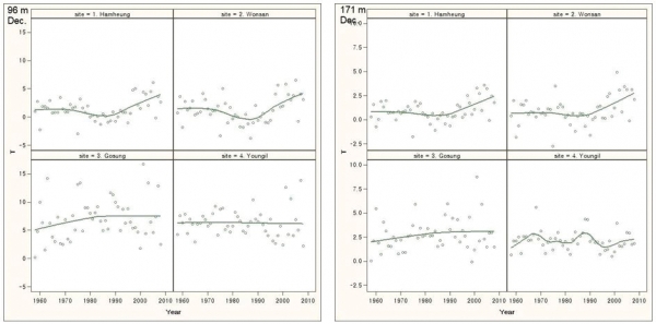
물론 해양수산부에서도 명태 방류 사업을 하면서 이 기후변화 가설을 검토했다. 그러나 기후변화 가설이 일찌감치 배제된 이유 중 하나는 1990년대를 전후해서 강원도 고성 앞바다 수온 변화가 그렇게 크지 않았다는 점이었다. 그러나 이것은 성급한 유추와 결론이었다. 같은 동해라도 북한 앞바다와 남한 앞바다 수온 변화가 같을 것이라는 막연한 가정을 하였는데 수심 100~200 미터 온도를 보면 고성 앞바다에서는 1990년대 이후 큰 수온 변화가 없었으나 북한 해역인 함흥과 명태 주산란장인 원산 앞바다에서는 수온이 크게 3℃ 이상 상승하였고, 반대로 동해 남단인 영일만의 경우 오히려 2℃ 가량 내려갔다(그림 4). 동해안 저층 수온 변화가 남북으로 서로 반대되는 경향을 보여준 셈이다.


동해 남쪽에서는 저층 수온이 오히려 내려가 1990년대 이후 아열대어종인 말쥐치 서식처가 동중국해쪽으로 수축되어버렸고, 대신 냉수성 어종인 대구와 청어가 동해남부와 남해안에서 많이 잡히게 되었다. 반대로 북한 앞바다에서는 저층 수온이 급격히 올라가서 냉수성 어종인 명태가 더 이상 서식하기 힘들어졌던 것이다. 즉 기후변화에 따른 명태 서식지 북상이 명태 어획고 격감의 주요 원인이었는데 해양수산부에서는 더 치밀한 검토 없이 너무 성급하게 결론을 내어, 노가리를 키워 방류하면 명태가 돌아올 것이라 믿었던 것이다.
해양수산부에서도 이 명태 복원 사업이 잘 안될 것으로 깨달았는지 몰라도 중간에 갑자기 명태 양식으로 사업 방향을 바꾸었다. ‘세계 최초 명태 완전양식 성공’이라면서 언론에서 크게 보도하고 정부로부터 상을 받은 것으로 알고 있다.
그러나 빠진 말이 있다. 전 세계에서 명태를 가공하지 않은 채 즐겨 먹는 나라는 남북한밖에 없다. 물론 일본에서도 명태 알은 좋아한다고 하지만 이것도 일제강점기에 우리나라 부산에서 넘어간 음식문화이다. 다른 나라에서는 명태 양식에 아예 관심이 없다는데 세계 최초가 무슨 의미가 있는가? 언론에서나 크게 떠들었지만 수산전문가들에게 보이는 것은 해양수산부의 놀라운 포장 능력밖에 없다. 명태 완전양식을 일구어낸 연구자들의 노력은 제대로 평가받아야 마땅하나 명태 실내 양식에 필요한 차가운 심해수를 끌어올리는데 드는 비용을 생각하면 경제성 문제를 해결하여 우리 식탁에 오르기까지는 첩첩산중 난관이 앞에 놓여있다는 사실부터 제대로 알려야 했다. 더구나 전 세계인이 즐겨 먹는 연어나 새우류와는 달리 명태는 우리나라 사람밖에 먹지 않아 잘해야 내수용밖에 되지 않는다. 심지어는 넙치 양식도 요즘 어렵다고 한다.
과학이나 사회는 시행착오를 통해 발전해가는 것이기 때문에 이런 명태 방류와 양식은 실험으로서 얼마든지 할 수 있으며 거기서 교훈을 얻고 새로운 사업을 계획하면 큰 문제될 것은 없다.
그러나 이 실패한 명태 방류 사업에서 교훈도 못 배우고 똑 같은 오류를 그대로 반복하고 있다. 북한 해역에서 어쩌다가 남쪽으로 흘러와 소량으로 잡히는 명태를 보호하겠다고 해양수산부에서 포획금지라는 규제를 시작해서 강원도 어업인들이 다른 물고기도 제대로 못잡아 생계를 위협 받고 있다고 한다. 방류한 명태를 보호하겠다는 취지로 계획한 것이 명태 포획 금지였는데, 잡히지도 않는 명태를 포획 금지하겠다고 하니 기가 찬다.
해양수산부는 명태 복원 사업 이전에 명태에 관한 기초 과학연구부터 충실히 하도록 하고 관련 수산 전문가들 의견을 경청하여 고위공무원들 홍보와 선전 도구로 전락한 명태를 시일이 걸리더라도 천천히 제대로 된 과학으로 평가 관리하고 소비할 수 있도록 해야할 것이다.
어업인들 생계를 돕지는 못할망정 지역 수산업을 고사시키려는 명태 포획금지와 같은 실효성 없는 규제는 다시 검토해주었으면 좋겠다.
수산전문가들은 구체적인 조사 결과를 가지고 이야기해야지, 일반인이나 공무원들을 대상으로 전해 내려오는 카더라류의 전설이나 경험에서 오는 감(感)으로 의견을 함부로 내어서는 안 될 것이다. 잘 모르면 그냥 잘 모르겠다고 하면 된다.
